|
<< Click to Display Table of Contents >> Navigation: Theoretical environment of QForm UK > Plastic deformation of materials > Thermal effects during plastic strainσσ |
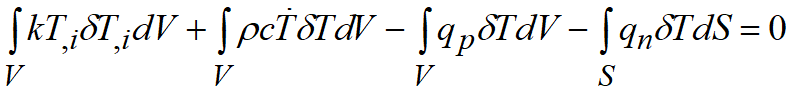
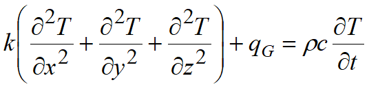
If forging is performed at elevated temperatures, then the occurring temperature field essentially influences both the flow kinematics and strain energy.
QForm UK simulates the nonuniform temperature field in the workpiece that changes over time during workpiece deformation, heating or cooling. Temperature field depends on the following thermal effects:
1.Heat transfer between heated workpiece parts due to its heat conduction.
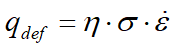
2.Thermal effect of plastic deformation due to partial transformation of deformation work into heat.
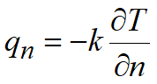
3.Heat transfer between the workpiece and the environment, which occurs due to convection and radiation.
4.Heat transfer between the workpiece and the tool, which occurs due to conductivity through a lubricant film.
5.Friction thermal effect that consists in partial transformation of work of friction between the workpiece and the tool into heat.
6.Heat transfer between tool parts due to its heat conductivity.
7.Heat transfer between the tool and the environment by means of convection and radiation.
8.Direct heating with heat flux through on the surface or inside of the workpiece body.
|
Heat transfer diagram at forging |
A |
radiation and convection on the surface of the workpiece and instrument |
B |
heat transfer through lubrication |
C |
external heat flow |
D |
heat generation at the plastic deformation |
E |
friction heat generation |
F |
workpiece conductivity |
G |
tool conductivity |
H |
tool conductivity |
Heat transfer diagram represents the initial data required for heat transfer simulation in QForm UK
If a temperature difference exists between two points then the energy transfer (heat transfer) occurs from the area with a higher temperature to the area with a lower temperature. There are three distinguishable types of heat transfer: heat conduction; convection; radiation. In this section the materials from works by Miheev M.A. (2010) and Kreith F. (1980) are used.
|
Initial data for simulation of thermal processes is given on different tabs. The majority of parameters are put into materials and lubricants database. All parameters were determined experimentally, and their values were adopted from different sources. As far as the accuracy of the experiments on temperature coefficients determination is not controlled by QForm UK creators, then the user is recommended to correct the values of experimental coefficients by means of carrying out his/her own research or from the technical literature.
|