|
<< Click to Display Table of Contents >> Navigation: Theoretical environment of QForm UK > Plastic deformation of materials > The system of governing equations of plastic deformation |
The algorithm of QForm UK implies the successive solution for problems in mechanics of deformations and thermal processes. Thus, at every step of simulation the temperature distribution through the bulk of workpiece is considered as constant. For a solution of the problem of stress-strain state determination the system of equations of mechanics of deformable bodies is used.
System of equations allowing determination of body stressed and strained state at isometric plastic deformation includes:
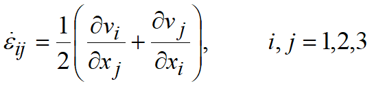
•compatibility conditions between velocity field and strain rate components
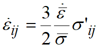
•Levy–Mises constitutive equations (mathematical relation between stressed and strained state)
•incompressibility condition (volume constancy law)
•essential boundary conditions on the surface Fv
•natural boundary conditions on the surfaceFp
•rheological model of material (expression for flow stress)
|
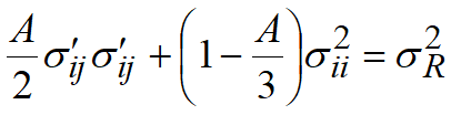
For non-compact (powder) materials in the system of governing equations changes:
|
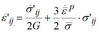
For elastic-plastic deformations in the system of governing equations are used the constitutive Prandtl-Reuss equations
Continuity equation is true only for plastic component of total deformation
|