|
<< Click to Display Table of Contents >> Navigation: Theoretical environment of QForm UK > Plastic deformation of materials > Energy relations and variational principles |
While deriving the constitutive equation system of finite-element method the variations in the principles of mechanics are used, which are based on the energy relations.
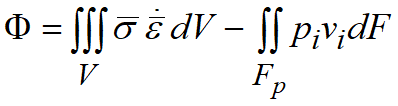
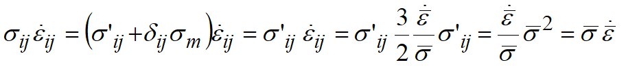
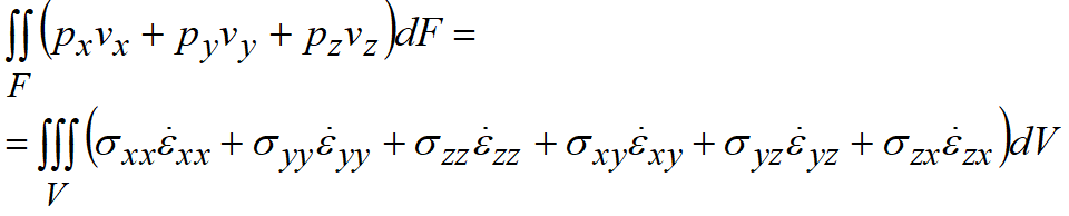
Equation of conservation of mechanical energy (power) of deformed body in the absence of inertia loads states that the power of specific external forces p applied to the outer surface F of deformed body is equal to power developed by stresses σ over the strain rate in the bulk of the deformed body V.
Here i,j = x,y,z, vi - the projections of velocities of surface material points on the coordinate axes. In the coordinate form the expression above has a form:
Any external surface can be represented as a set of two parts: •surface Fp on which the natural boundary conditions are given in p0 •surface Fv on which the essential boundary conditions are given v0 (with kinematic constraints) The difference between external and internal forces powers at the surface Fp is called the total power
|
Variational principles in mechanics determine the properties of the system's actual motion under the action of specified forces that allows it to distinguish this motion from kinematically-admissible motion (that satisfies the boundary conditions and constraints). Usually variational principles are formulated in the form of the condition for minimum of some quantity (functional) that depends on one or several functions related to physics of the task. In variational principles the following terms are used: •true (actual) displacement, which satisfies boundary conditions, under which the body is in equilibrium •admissible (kinematically-admissible) displacement, which satisfies boundary condition, but under which the body is not necessary in equilibrium. There exists an infinite number of these kinematically-admissible displacements. •virtual displacement that represents the difference between kinematically-admissible displacement and true displacement. Displacement variations δu are equal to zero wherein the external restrictions (constraints) for system points motion are given.
|