|
<< Click to Display Table of Contents >> Navigation: Theoretical environment of QForm UK > Plastic deformation of materials > Constitutive equations |
During the application of external loads to a body it changes its volume and shape. The greater the external loads are, the greater the strains occur in the body. Thus, there exists a relation between stressed state and strained state. Equations of constraints between the stress tensor components and strain tensor components (strain rates, incremental strains) are called the constitutive equations of relation between stressed state and strained state (sometimes they are called the constitutive relations). These relations have different forms for different types of physical medium.In QForm UK an isotropic model of continuum is used for which the material properties are considered as equal in all directions
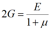
Elastic deformation obeys generalized Hooke's law. It is considered that the stress deviator components are directly proportional to strain deviator components.
Here
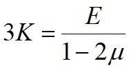
E - elasticity modulus (Young's modulus), and μ - Poisson coefficient are the material properties. Volumetric strain is related to mean stress with the relation:
Here K - bulk modulus
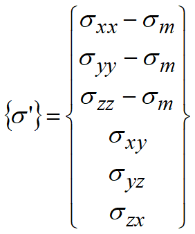
Generalized Hooke's law can be written down relatively to components of stress and strain tensors. In finite element method the following matrix formulation of constitutive equations of elastic continuum is used:
Here
|
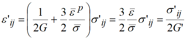
Small elastic-plastic deformations theory is applied in QForm UK for simulation of stress-strain state in the tool. In order to describe the correlation between stress and strain Hencky's equations are used. It is considered that total strain is the sum of elastic (e) and plastic (p) strains.
Elastic deformation obeys generalized Hooke's law. Strain deviator components are proportional to stress deviator components, but unlike for elastic deformations this relation in nonlinear.
Here
E - elasticity modulus (Young's modulus), and μ - Poisson coefficient are the material properties and in QForm UKcan be set as constant or depend on temperature in tabular form in deformable material models and in tool material models. As the criterion of plasticity von Mises plasticity conditions are used
The yield stress in QForm UK at analysis of tool strains is considered to be linearly dependent on plastic strain intensity
Here
Volumetric strains are elastic (plastic strains do not impact the body volume change) and are related to mean stress by the relation:
Here K - bulk modulus
Hencky's equation can be written relatively to stress and strain tensor components. Finite element method implements the following matrix formulation:
Here
|
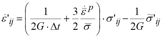
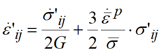
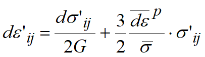
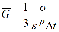
At simulation of elastic-plastic deformations it is considered that the material deformation is the sum of elastic and plastic deformation. For simulation of elastic-plastic deformations Prandtl-Reuss equations are used
Here
In these equations the strain deviator increment depends both on stress deviator increment and stress deviator itself σ'. First term in the formula describes the elastic strain increment. Second term describes the plastic strain increment. As for strain rates Prandtl-Reuss equations have a form:
Here
Thus, the strain rate deviator depends both on stress deviator and its derivative with time. When using this equation in QForm UK for formulation of FEM resulting equation it is preliminary transformed by means of linear approximation of stress deviator derivative
Hereafter the "~" sign above a symbol means the value of derivative at the previous step of simulation, Δt is the step of integration over time.
On solving the derived expression relatively to stress deviator, we obtain
Here
Or in matrix form:
Here
|
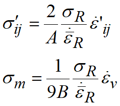
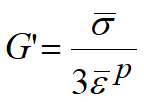
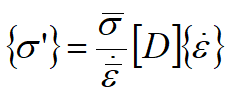
At the simulation of large plastic deformations in the workpiece in QForm UKthe elastic deformations are neglected. In this case total strain is equal to plastic strain. Mathematical description of constitutive equations for this medium gives the Levy–Mises equations.
Here:
Levy–Mises equations interrelate the deformation rates and the stress deviator σ'. The finite element method uses the matrix representation of Levy–Mises constitutive equations:
Here
σm - mean stress. According to Mises plasticity condition the stress is equal to flow stress that depends on effective (cumulative) plastic strain, strain rate and temperature.
|
At simulation of porous material behavior the elastic deformations are not accounted for, but its compressibility at the expense of density increase is taken into account. Non-compact materials flow equations used in simulation are written as a set of two equations: the first of them characterizes the workpiece shape change (stress and strain deviators proportionality), and the second characterizes the workpiece volume change as a result of density change (compressibility equation):
Here (see Yield criterion for porous materials):
In matrix form the relation between the stress and strain deviators
Here
|