|
<< Click to Display Table of Contents >> Navigation: Theoretical environment of QForm UK > Plastic deformation of materials > Yield criterion |
Yield criterion is an expression constraining the components of stress in a point and determining the transition to a plastic state. Usually a plastic state is preceded by an elastic state. Elastic deformation is fully recovered after the removal of applied loads. Plastic deformations after removal of all the external loads remain in the deformed material and cause the distortion of deformed body initial shape. Thus, the new workpiece shape obtained during the forming operation is the consequence of plastic deformations.
For uniaxial tension the plastic state occurs when the tensile stress σ1 attains a certain threshold value σY known as yield stress. On the graph of stress against strain along the specimen axis this point corresponds to the moment of occurrence of nonlinear dependence of stress on strain. If we unload the specimen that was previously elongated for more, then yield stress up to the value σS, then at its next loading the transition to a plastic state will occur at
This expression is the yield criterion at uniaxial tension. Alternating stress σS acting along the axis at uniaxial tension of specimen is called the flow stress or the resistance to plastic deformation. It depends on the cumulative plastic deformation, temperature and strain rate. It depends on the cumulative plastic deformation, temperature and strain rate. |
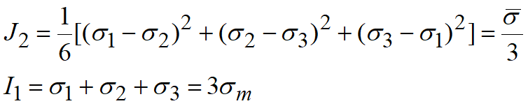
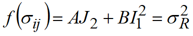
In general terms the yield criterion can be written down in a form:
Here
Geometrically the yield criterion represents the surface in the stress space (one of the stress components is drawn along every axis of stress space). In the course of plastic deformation the plastic surface in the general case changes its size and location. If the plastic surface expands uniformly in all directions, then an isotropic hardening takes place. InQForm UK von Mises yield criterion is used for compact (continuum) material and Green yield criterion is used for non-compact (porous) materials.
|