|
<< Click to Display Table of Contents >> Navigation: Theoretical environment of QForm UK > Features of FEM implementation in QForm UK > Discretisation of continuum |
During discretisation a real continuous object is substituted with a set of finite number of smaller (finite elements), and in every one of them the sought-for function is approximated with a collection of low-degree polynomials. Finite elements interact with each other in a limited number of points named FE nodes, and differ in dimension, geometric shape, and degree of approximation.
Element dimension is defied with the dimension of problem. There are distinguished one-dimensional, two-dimensional and three-dimensional elements. In QForm UK plane (2D) and spatial (3D) problems of strain analysis are solved.
Element geometry is defined with location of nodal points. The majority of elements used in simulations have rather simple geometrical shape. For example, in one-dimensional case the elements usually represent straight lines or curve segments, in two-dimensional case the elements have triangular or quadrangular shape; the most common elements for three-dimensional tasks are tetrahedrons, prisms and hexahedrons.
In QForm UKfor 2D deformation triangular elements are used, and for 3D deformation - elements in a form of tetrahedrons.
The degree of approximation is defined with the degree of polynomial used for approximation of unknown function and geometry in the domain given by a finite element. The most common elements are linear and quadratic elements.
The approximation of unknown function in the volume of element is performed due to values of this function in finite element nodes. For example, temperature distribution T=f(x.y.z) over finite element volume can be expressed in terms of temperature values in finite element nodes in the following manner
Here [N]- shape function matrix,{T (e)} - temperature values in finite element nodes.
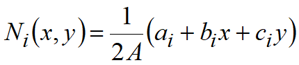
where k is the number of finite element nodes. Finite element shape functions allow determining of unknown function values in an arbitrary point within the finite element due to its coordinates (shape function argument - point coordinates) and this variable nodal values.
Area of triangle
where xi, yi - finite element node coordinates. The coefficients ai, bi, ci are also determined with finite element node coordinates, for example:
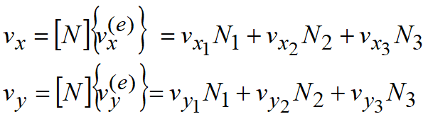
The rest of coefficients is derived by the cyclic permutation of subscripts. Thus, the element shape functions depend only on element node coordinates, so the same shape functions can be used for approximation of any functions inside the element in this function's nodal values. For example, for an approximation of velocity field{v}T= [vx, vy] with the use of triangular element in a 2D problem:
or in general terms
shape function matrix in this case has a dimension of 26
nodal velocities vector
General form at velocities field approximation {v}T=[vx, vy, vz] in three-dimensional element remains unchanged:
Shape function matrix will depend on the type of the element used for approximation.
|
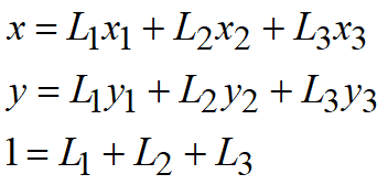
For determination of shape functions of triangular and tetrahedral elements the so called L-coordinates (natural coordinates) are often used. For arbitrary point within the element the L-coordinates represent the ratio of the distance between the point and one of the sides (for triangle) or face (for tetrahedron) to height drawn down to this side (face) from the opposite vertex.
L-coordinates are related to Cartesian coordinates with the following relations: •for triangular FE
•for tetrahedral FE
It is easy to see that L-coordinates for the simplest finite elements above coincide with shape functions. These elements are used in QForm UK at analysis of elastic strain in the tool. |
||||||
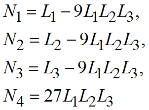
In QForm UK at analysis of plastic strains are used the lowest-order triangular and tetrahedral finite elements having additional central node for velocity field approximation. Approximation of average stress fields is performed in a traditional way. Approximation of average stress fields is performed in a traditional way.
Shape functions for element velocity field in QForm UK are expressed in terms of L coordinates in the following way [Liu (1998)]: •for triangular element
•for tetrahedral element
Shape functions for average pressure field coincide with L-coordinates of respective elements: •for triangular element
•For tetrahedral element
|
||||||||||
Heat transfer process in QForm UK is simulated by means of a finite volume method. According to this method, problem discretisation is achieved by means of subdividing the computational domain into small contacting volumes. Within every control volume there is a point of "attaching" of sought-for mesh solution. As finite volumes QForm UK uses Voronoi cells. Mesh of Voronoi cells is plotted on the basis of finite element grid used for discretization of strain problem. In every finite element a point is selected that is equidistant to angular nodes of the triangular (2D task) or tetrahedral (3D) element. Thus, the finite volumes in the form of Voronoi cells represent the geometric figures whose edges connect the centres of circumscribed circles for triangular (2D) FE and of circumscribed spheres for tetrahedral (3D) FE.
|
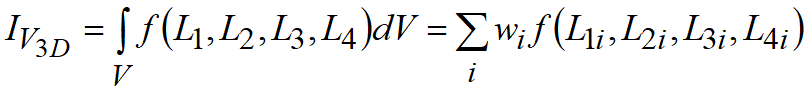
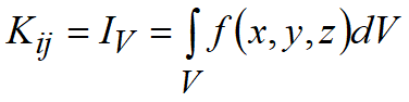
At calculation of finite element stiffness matrices and loading vector in the process of generation of global system of equations of finite element method it is required to calculate the spatial integrals of nonlinear functions:
In general form the stiffness matrix consists of elements any of which is to be obtained by calculation of integral of type
where
For calculation of these integrals the quadrature formulas are used that allow substituting of spatial numerical integration with summation of integrand values calculated in specific points and multiplied by corresponding weight coefficients. For a one dimensional case it is used
where
For triangular and tetrahedral finite elements in terms of natural coordinates:
In QForm UK are used 6 (2D) and 4 (3D) integration points, respectively. The following values of integration point coordinates and weight coefficients are applied:
|
|||||||||||||||||||||||||||||||||||||||||||||||||||