|
<< Click to Display Table of Contents >> Navigation: Technology manual > Sheet metal forming > Simulation of forming of anisotropic workpieces |
Anisotropic materials are materials that have different properties in different directions. Metals consist of a large number of microscopic crystals bound into grains. The crystal is anisotropic, but because the crystals in grains and grains are orientated in a wide variety of ways, the individual anisotropy features of each crystal in a polycrystal are levelled out, and often polycrystal metals can be considered an isotropic material. However, as a result of plastic deformation (for example, rolling) with the appearance of texture (a system of regularly oriented crystallites), polycrystal metals become anisotropic with mechanical properties varying depending on the direction.
To simulate stamping of workpieces produced from anisotropic materials, QForm UK has the yield criterion for orthotropic material proposed by Hill [1]. For more information about the yield criterion, and what it is used for, see the manual section Yield criterion.
To characterize the behavior of an anisotropic material in the general case, Mises proposed the following criterion for the beginning of plasticity [2]:

where
σxx, σyy, σzz, σxy, σyz, σzx- stress, the first index of which shows the direction of the normal to the plane with this stress, and the second index shows the direction of the axis along which it acts;
A1111, ..., A3112- constants, the total number of which in this equation is 21.
Sheet metals generally have a special case of anisotropy called orthotropy. The mechanical properties of orthotropic bodies are symmetric about three mutually perpendicular planes. If the axes x, y and z are combined with the symmetry axes of the orthotropic body (for sheet material, this is the rolling direction and two directions perpendicular to it), the components containing first degree shear stresses and multiplications of different shear stresses should be excluded from the above equation due to the symmetry of mechanical properties. As a result, taking into account the restrictions imposed on the constants by the condition of no plastic deformation in all-around equal tension or compression, the Mises equation for the general case of an anisotropic body is transformed to the form describing the beginning of plasticity of an orthotropic body proposed by Hill [2]:
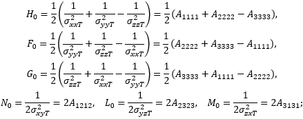
![]()
where
H0, F0, G0, N0, L0, M0 - constants obtained from the constants of the yield criterion of anisotropic material in the general case, which are determined by the value of yield stresses σxxT, σyyT, σzzT, σxyT, σyzT, σzxT for cases of uniaxial tension in the direction of the axes x, y, z and the shear between them:

x, y, z - principal axes of anisotropy.
In rolled sheet metal workpieces , the principal anisotropy axis x is collinear to the rolling direction (RD), the y axis is perpendicular (TD), and the z axis coincides with the vector normal to the sheet surface (ND):

Taking into account that the metal hardens during deformation, the yield criterion of orthotropic material, proposed by Hill, in the general case has the following form:
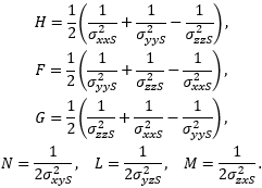
![]()
where
H, F, G, N, L, M - parameters characterizing the current anisotropy and differing from the constants used in the equation of the beginning of plasticity of an orthotropic body by using of flow stresses instead the yield strengths for their calculations σxxS, σyyS, σzzS, σxyS, σyzS, σzxS for cases of uniaxial tension in the direction of the axes x, y, z and the shear between them:

To determine the anisotropy of sheet material, plastic anisotropy coefficients are often used Rθ (also called Lankford coefficients and R- coefficients), which are determined from uniaxial tensile tests of plane specimens according to ISO 10113 as:
![]()
where
εw and εt- the true plastic strains of the test specimen in the width and thickness directions, respectively,
θ- numerical index that shows the orientation of the specimen in the investigated sheet material and equals the angle between the longitudinal axis of the specimen and the sheet rolling direction RD:

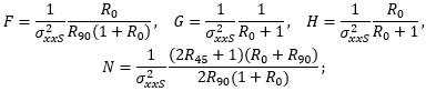
Parameters F, G, H and N are related to the coefficients of plastic anisotropy of sheet material R0, R45and R90 the following dependencies [3]:

where
R0, R45 and R90 - plastic anisotropy coefficients determined from testing samples cut along the rolling direction and at an angle of 45° and 90° to the rolling direction .
Parameters L and M for sheet material it is impossible to determine and, as a rule, they are taken equal to the parameter N.
For sheet forming operations with plane stress state in the deformed workpiece (σzz=σxz=σyz= 0, σxx≠ 0, σyy≠ 0, σxy≠ 0) the equation of plasticity beginning for an orthotropic body is transformed to the view:
For principal stresses, this equation has the view:
where σI, σII - larger and smaller principal stresses in the surface of the sheet metal workpiece. Mises' plasticity criterion of an isotropic material for sheet forming operations with a plane stress state has the view [1]:
where σT - yield stress of the material. The graphs corresponding to these equations of plasticity beginning for isotropic and orthotropic bodies for one material from the standard database QForm UK with coefficients R0 and R90 equal to 1.5 and 2.2 are shown below.
where
|
To take into account the anisotropy of the sheet metal during simulation in QForm UK, it is necessary to use the workpiece material with the Hill-Mises yield criterion in the calculation.
|
Important |
During the preparation of initial data for simulations with the Hill-Mises yield criterion of forming of an anisotropic sheet workpiece, certain requirements of the workpiece orientation must be provided. So, the rolling direction of the workpiece must be collinear to the X-axis of the coordinate system of QForm UK, the direction perpendicular to it is collinear to the Y-axis, and the thickness is collinear to the Z-axis. |
|
To select the Hill-Mises yield criterion for the used workpiece material model, go to the Yield criterion section in the Deformed materials database by clicking the Edit button under this option in the Basic properties section, or by selecting Yield criterion in the list of specified properties in the right part of the Deformed materials window:

Then you need to select the Hill-Mises yield criterion and specify its coefficients. The Hill-Mises yield criterion can be specified in one of two available ways: either by the six constants of the Hill equation for the beginning of plasticity of an orthotropic body H0, F0, G0, N0, L0, M0:

either by three plastic anisotropy coefficients R0, R45 and R90:

|
Important |
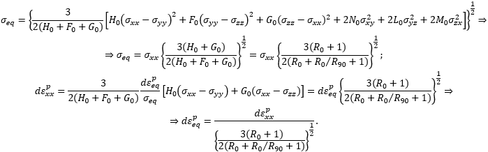
When preparing a model of anisotropic material with the Hill-Mises yield criterion and specifying the dependence of flow stress on strain, it is necessary to take into account that the equivalent stress σeq and the equivalent strain εeq are not equal to the normal stress and strain along the axis of a flat test specimen in uniaxial tension. So, in the case of uniaxial tension of the specimen along its longitudinal axis coinciding with the rolling direction (σxx≠ 0, σyy=σzz=σxy=σxz=σyz= 0), from equations for equivalent stress and strain increment along the x axis ex the following is generally obtained [1]:
In the same way, the equations are obtained for the case of uniaxial tension of the specimen along its longitudinal axis that is perpendicular to the rolling direction (σyy≠ 0, σxx=σzz=σxy=σxz=σyz= 0):
|
|
1.Hill, R., A Theory of the Yielding and Plastic Flow of Anisotropic Metals, Proceedings of the Royal Society of London Series A. Mathematical and Physical Sciences, 193(A), 1948, 281-297. 2.Malinin N.N. Applied Theory of Plasticity and Creep. Textbook for university students. 2nd edition, revised and expanded. M.: Mashinostroenie, 1975. 400 p.: ill. 3.Formability of Metallic Materials : plastic anisotropy, formability testing, forming limits / D. Banabic... Ed. by D. Banabic - Berlin ; Heidelberg ; New York; Barcelona; Hong Kong; London; Milan; Paris ; Singapore; Tokyo: Springer, 2000. |