|
<< Click to Display Table of Contents >> Navigation: Technology manual > Thermomechanical processing and heat treatment > Phase transformations > Predicting hardness and stregth |
In module Phase transformations, there are two methods for predicting the performance properties of a part after heat treatment: by mixture rule and by characteristic temperature interval. The selection of one method or another is done on the Workpiece parameters tab
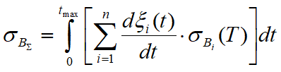
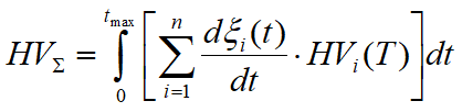
To calculate using mixture rule, the hardness (and/or tensile strength) values for each phase must be specified in the material properties. In this case, the value of these properties is calculated by the formulas
where
|
Characteristic time is the duration of holding the alloy in a characteristic temperature interval to complete the desired phase transformation or other metallurgical changes. In some cases, a fairly accurate prediction of performance properties can be made on the basis of the time the material stays in a certain temperature range during heat treatment. For example, for hardening steels, t85 (or t8/5), where t is time, and 85 is the range from 800 °C to 500 °C. So, it is the time required during cooling to pass the temperature range from 800 °C to 500 °C. On the Properties tab for the characteristic temperature interval it is possible to set the necessary limits of the characteristic temperature interval. The dependences of hardness and tensile strength on the time in the characteristic temperature interval can be specified in the corresponding tabs. The method of hardness calculation by the time in the characteristic temperature interval can also be used with the hardenability curves determined by the method of end hardening according to ISO 642. The hardenability curve represents the dependence of hardness on the distance from the water-cooled end of the sample. The hardenability curves are given in ISO standards. For use in QForm UK, the hardenability curve needs to be rearranged in the coordinates "Hardness - time in characteristic temperature interval". If there is no significant release of latent heat of phase transformations during the quenching process, the above rearrangement is unambiguous. To use this method it is necessary to specify a material model with specified properties for a characteristic temperature interval and switch the method of calculation of the selected mechanical characteristic to Use characteristic temperature interval. When using this method for modeling cooling processes, the values of predicted performance properties must be estimated at the time when the workpiece temperature is equal to room temperature, otherwise the values of properties will be overestimated (in the process of calculating the cooling operation, the predicted properties change from maximum to minimum as the time of being in the characteristic temperature range increases). In each operation, the characteristic time can be redefined on the tab Workpiece parameters. By default, the characteristic time is set to 0. This means that the initial temperature is either above or below the characteristic temperature interval. If the initial temperature is in the characteristic interval and there is no simulation history of cooling to the target temperature, it is possible to manually enter the initial value of the characteristic time. |