Theoretical environment of simulation

<< Click to Display Table of Contents >>

Navigation:  Users manual > Subroutines > Standard subroutines > The low cycle fatigue (LCF) of dies >

Theoretical environment of simulation

The proposed simulation method is based on the following assumptions:

1.The Process of cyclic loading of dies is considered as a combination of two stages - at the first stage, elastic-plastic loading occurs, accompanied by the accumulation of plastic deformations in places of stress concentration up to a certain limiting value, and at the second - purely elastic loading.

2.Damage accumulation from plastic Strain based on the Cockrotf & Latham model (5)

3.It is believed that the maximum stress in places of stress concentration are constant and are determined by the loads of the first cycle.

4.The Process of accumulation of plastic deformations is determined by the mechanism of thermocyclic softenning. Softenning reduces the yield stress. The amount of reduction in the yield stress is proportional to the plastic Strain in the cycle. The hardening modulus remains constant.

A Fit by of the process of accumulation of plastic deformations, constructed on the anvil of accepted assumptions for an elastic-plastic material with linear hardening, is shown in Fig. 1. From the fit by presented in the figure it is clear that plastic Strain in each new cycle will decrease, tending to zero in the limit, time elastic strain remains unchanged. This fit by agrees well with data in the technical literature on the gradual decrease in plastic Strain of dies during the first cycles.

We will assume that softening occurs during a technological pause, which leads to a decrease in the resistance to deformation in the next cycle by the amount

 

(1)

Here and – softening after and () loading cycles.

Following the work

Sjostrom J. and Bergstrom J. Thermal fatigue in hot-working tools // Scandinavian Journal of Metallurgy. – 2005. – 34. – P.221–231

according to the method

Bernhart G., Moulinier G., Brucelle O., Delagnes D. High temperature low cycle fatigue behavior of a martensitic forging tool steel //International Journal of fatigue. – 1999. – T. 21. – No. 2. – pp. 179-186.

hardening or softenning is described by the function, which is determined by the cyclic hardening curve

01_Lua_DB_tool_fatigue_theory

Fig. 1. Determination of hardening or softenning using the cyclic hardening curve

 

 

(2)

here - plastic strain for 1 cycle and total plastic strain, - temperature-dependent material constants.

QForm adopts a piecewise linear approximation of the hardening curve when simulation tool strain . Then plastic strain in an arbitrary cycle:

 

(3)

,where P is the hardening module.

 

01_Lua_DB_tool_fatigue_description

Fig. 2. Accumulation of plastic strain under cyclic loading of dies taking into account softenning

The total plastic strain is determined by the recurrent formula:

 

(4)

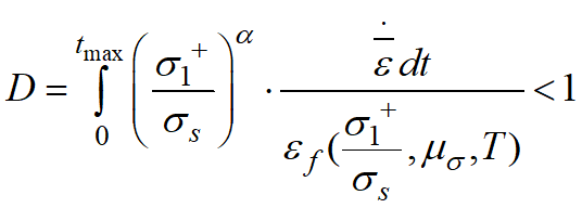
Damage due to plastic strain is determined based on the damage accumulation equation according to the modified Cockrotf & Latham model:

 

(5)

Here:

- normalized first principal stress

- material parameter

- limiting strain depending on normalized stress, Lode index and temperature

Material parameters - critical Strain and exponent, reflecting the nonlinearity of damage accumulation, depend on temperature, the Lode-Nadai parameter and the stress state multiaxiality index. For steel H13 (1.2344, 4Х5МФ1С-ЭП572, 40CrMoV5), these dependencies can be taken from the work:

Lapovok R., Smirnov S., Shveykin V. Damage mechanics for the fracture prediction of metal forming tools //International journal of fracture. – 2000. – T. 103. – No. 2. – P. 111-126).

Data on cyclic softenning of H13 steel were obtained as a result of processing the results of experiments given in the work

Sjostrom J. and Bergstrom J. Thermal fatigue in hot-working tools // Scandinavian Journal of Metallurgy. – 2005. – 34. – P.221–231) according to the method (Delagnes D., Rezai-Aria F., Levaillant C. Influence of testing and tempering temperatures on fatigue behavior, life and crack initiation mechanisms in a 5% Cr martensitic steel // Procedia Engineering. – 2010. – Volume 2, Issue 1, April. – pp. 427–439.

Since the material parameters significantly depend on temperature, the Lode-Nadai parameter and the multiaxiality index, which in turn change process the strain of the dies, it is proposed to determine them by the average integral values ​​per cycle in accordance with the following expressions

here - cycle time.

 

(6)

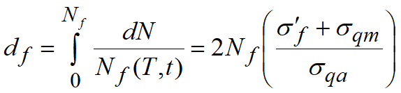
The formula for simulation damage from elastic strain taking into account average cycle stresses can be obtained from the general Manson-Coffin-Basquin formula in Morrow notation:

Manson S. S., Halford G. R. Fatigue and durability of structural materials. – ASM International, 2006, 456 p.

 

(7)

Here - , cycle equal amplitude and mean stress.

To bring the amplitude and average stress of the cycle in the case of a triaxial stress state, equivalent von Mises stresses were used taking into account the sign of the first principal stress or mean stress.

Kim Y. J., Choi C. H. A study on life estimation of hot forging die //International Journal of Precision Engineering and Manufacturing. – 2009. – T. 10. – No. 3. – P. 105-113:

, ,

 

(8)

Material's parameters – fatigue strength coefficient and fatigue strength index (slope of the elastic line of the Manson-Coffin-Basquin law) b can be obtained from experimental data. For steel H13, they were determined anvil on processing data from [10].

Assuming that the load in each cycle is the same, for stress fatigue damage we obtain

 

(9)

Final prediction of the number of cycles before crack formation :

 

(10)

The formula is complex and allows one to predict durability both with and without taking into account plastic strain. All components of the equation are either material parameters and are specified as initial data, or can be calculated as a result of post-processing data from the first die loading cycle.