|
<< Click to Display Table of Contents >> Navigation: Technology manual > Thermomechanical processing and heat treatment > Spray cooling > Theoretical foundations of spray cooling |
When cooling with sprayers, heat transfer depends on the distance between the plain of the cooled surface and the sprayer: the velocity of the liquid decreases as it moves away from the nozzle. In addition, it is non-uniform in the jet cross cross cut plane perpendicular to its axis: the velocity decreases from the center to the periphery. Also, the protruding part of the workpieces can "shade" the areas lying behind them. All this must be taken into account when simulation spray cooling.
In QForm UK the assumption was made that the intensity of cooling is proportional to the relative velocity of the liquid at the considered point of the sprayer.
α (z, T, ρ)=U (z, ρ)·α0 (T)
where
z and ρ are the coordinates of the considered point in the cylinder coordinate system associated with the sprayer;
T is the surface temperature of the workpieces surface at the considered point;
α (z, T, ρ) is the heat transfer coefficient at the considered point;
U (z, ρ) is the relative fluid velocity at the considered point;
α0 (T) – dependence of the heat transfer coefficient of the cooling environment on the temperature at the exit of the nozzle.
Assumed change in the relative velocity of the liquid in the nozzle:
|
d0 – nozzle diameter; β – spray angle; k is the attenuation coefficient of the jet; A is the initial section of the jet; B is the main section of the jet; C is the distance up to which the heat transfer coefficient on the axis is maximum; D is the relative velocity of the liquid in the cross cut plane. |
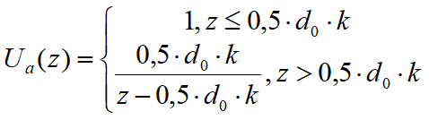
As can be seen from the figure, there are two characteristic sections of the jet - initial and main.
In the initial section of the jet, the relative fluid velocity at point located on the axis is constant and equal to the maximum, and in the main section it decreases in proportion to the distance to the nozzle:

Where d0 – sprayer nozzle diameter ;
kis the jet attenuation coefficient , k> 0
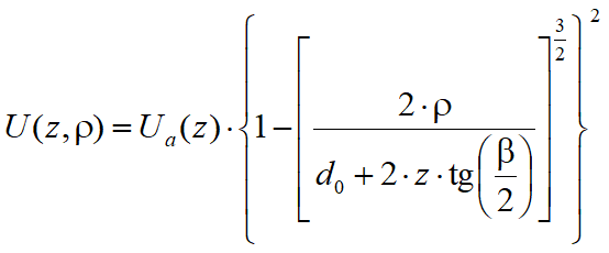
By cross section of the jet in the main section, the relative velocity of the liquid is distributed according to the law:

Where β- spray angle.