|
<< Click to Display Table of Contents >> Navigation: Technology manual > Thermomechanical processing and heat treatment > Diffusion saturation processes > Теоретические основы диффузионных процессов |
Перенос вещества в материалах посредством случайных единичных шагов (скачков) миграции атомов называется диффузией. Таким образом, диффузия это процесс, при котором вещество переходит из одной части системы в другую в результате случайного движения атомов. Общее понимание и детальная теория диффузионного переноса вещества представляют собой область материаловедения.

В жидкостях и газах скорость диффузии значительно превосходит скорость диффузии в твердых телах. При нормальных условиях диффузия в твердых телах практически не происходит.
Кинетические процессы диффузии можно рассматривать, предполагая, что материал представляет собой сплошную среду, то есть, игнорируя атомную структуру твердого тела. Такая задача является эмпирической и сводится к получению и решению соответствующего дифференциального уравнения. Уравнения диффузии, как и уравнения теплопроводности и электропроводности, являются уравнениями переноса.
Атомарная структура материала при таком подходе не рассматривается. Несмотря на то, что моделирование не описывает атомарный механизм процесса, подход применим в общем случае.
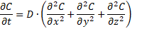
![]()
где
C - концентрация диффундирующего элемента,
x, y, z - пространственные координаты,
t - время,
- коэффициент диффузии [м2/с].
Граничные условия дифференциального уравнения имеют вид:
![]()
где
Ce - концентрация диффундирующего элемента в окружающей среде,
Cs - концентрация диффундирующего элемента на поверхности,
β - коэффициент массопереноса [м/с].
Граничное условие демонстрирует изменение концентрации по нормали от поверхности и пропорционально разности концентрации (в окружающей среде и на поверхности). Коэффициент массопереноса определяет насколько за определённый промежуток времени концентрация диффундирующего элемента на поверхности будет отличаться от концентрации этого элемента в окружающей среде.
Проинтегрировав дифференциальное уравнение с учетом граничных условий:

Если предположить, что D, β и Ce остаются постоянными на шаге интегрирования, получается система линейных уравнений относительно приращений концентрации в узлах.
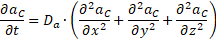
Дифференциальное уравнение диффузии, сформулированное для концентрации диффундирующего элемента, не учитывает его возможного взаимодействия с другими химическими элементами материала заготовки. Для учёта этих процессов, дифференциальное уравнение диффузии должно быть сформулировано в активностях.
ac - активность, эффективная (кажущаяся) концентрация компонентов в системе с учетом взаимодействия между ними.
Активность определяется как произведение концентрации химического элемента C на коэффициент активности
.
![]()
Например, коэффициент активности для углерода в сталях:

где
q - коэффициент легирования [2],
xc - мольная доля углерода.

В активностях уравнение диффузии имеет вид:
![]()
Граничные условия:
![]()
Если на шаге расчёта принять
, то
![]()
![]()
где
![]()
1.Ян Корецкий. Цементация стали. Пер. с чешск. Л.: Судпромгиз, 1962г., 230 с.: ил. 2.Цементация, нитроцементация и азотирование стальных изделий : учебное пособие / М.В. Майсурадзе, М.А. Рыжков, С.В. Беликов, О.Ю. Корниенко, М.С. Карабаналов, А.Ю. Жиляков ; М-во науки и высшего образования РФ.— Екатеринбург : Изд-во Урал. ун-та, 2021.— 102 с. |