|
<< Click to Display Table of Contents >> Navigation: »No topics above this level« Forecasting operational properties |
In the module Phase transformation there are two methods for predicting the performance properties of a part after heat treatment: according to the mixture rule and according to the characteristic temperature interval. The choice of one or another method is carried out on the Workpiece parameters tab

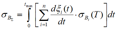
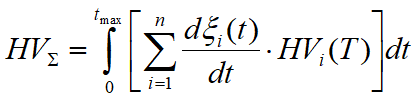
To simulate using the mixture rule, hardness value (and/or tensile strength) for each phase must be specified in the material properties. In this case, the value of performance properties is calculated using the formulas
where
|
Characteristic time - alloy dwell time in a characteristic temperature range to complete the desired phase transformation or other metallurgical changes. In some cases, a fairly accurate prediction of performance properties can be made on the basis of material dwell time in a certain temperature range during heat treatment. For example, for quenching steels, t85 (or t8/ 5) is typically used, where t means time and 85 - range from 800 °C to 500 °C. It is the time required during cooling to pass the temperature range from 800 °C to 500 °C. On the properties tab for a characteristic temperature interval, it is possible to set the necessary boundaries of the characteristic temperature range. The dependencies of hardness and tensile strength on the time spent in a characteristic temperature range can be specified in the corresponding tabs. The method of calculating hardness by the time of staying in a characteristic temperature range can be used, in addition, with hardenability curves determined by the method of end hardening according to ISO 642. The hardenability curve represents the dependence of hardness on the distance to the water-cooled end of the sample.
Hardenability curves are given in standards, for example, GOST 4543, GOST 14959, etc. To use in QForm UK, the hardenability curve must be rearranged in the coordinates "Hardness - time spent in characteristic temperature range".
If there is no considerable release of latent heat of phase transformations during the quenching process, the above rearrangement is unambiguous.
To use this method it is necessary to specify a material model with the defined properties for a characteristic temperature range and switch the method of calculation of the selected mechanical characteristic to Use characteristic temperature interval. When using this method for simulating cooling processes, the values of predicted performance properties must be estimated at the time when the workpiece temperature is equal to room temperature, otherwise the values of properties will be overestimated (in the process of simulating the cooling operation, the predicted properties change from maximum to minimum as the time of being in the characteristic temperature range increases). In each operation, the characteristic time can be overridden on the Workpiece parameterstab. By default, the characteristic time is set to 0. This means that the initial temperature is either higher or lower than the characteristic temperature range. If the initial temperature is in the characteristic interval and there is no simulation history of cooling to the initial temperature, it is possible to manually enter the initial value of the characteristic time.
|